Skip to main content

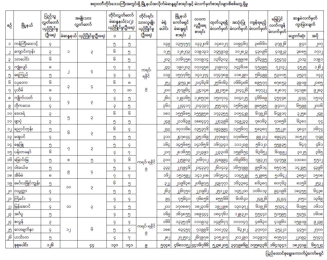
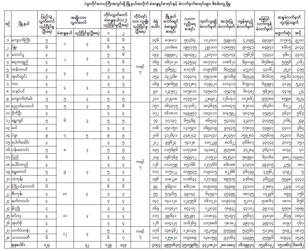
ပြည်ထောင်စု ရွေးကောက်ပွဲကော်မရှင် ပဲခူးတိုင်းဒေသကြီး၊ မကွေးတိုင်းဒေသကြီး၊ ရှမ်းပြည်နယ်နှင့် ဧရာဝတီတိုင်းဒေသကြီးတို့၏ မြို့နယ်အလိုက် ရွေးကောက်ပွဲရလဒ်များနှင့် စပ်လျဉ်း၍ သတင်းထုတ်ပြန်ချက် ၂၀၂၁ ခုနှစ်၊ ဇူလိုင်လ ၂၄ ရက်